- CRA-CE
- Notícias
FORMAÇÃO DO PROFISSIONAL VIGILANTE NA SEGURANÇA PRIVADA - DE QUEM É A RESPONSABILIDADE?
- CRA-CE
- Notícias
Atuando como gestor na atividade de segurança privada e empresarial há 31 anos, e como instrutor credenciado na Polícia Federal (PF) para ministrar aulas nos cursos de segurança privada desde 1998, venho acompanhando a evolução do seguimento, sendo que esta atividade no Brasil surgiu para atender aos estabelecimentos financeiros (bancos) através dos Decretos Federais nº 1.034/69 e nº 1.103/70, e consequentemente atender a outras instituições e empresas públicas e privadas.
Na sequência, a atividade de segurança privada foi regulamentada através da Lei 7.102/83 de 20 de junho de 1983. Com a evolução da atividade de segurança privada, uma das preocupações e atenções foi com a formação dos vigilantes, pois o mercado está cada vez mais exigente e os contratantes e usuários dos serviços de segurança privada necessitam que os vigilantes estejam com seus níveis de preparo em conformidade com as necessidades atuais.
No início, a formação dos vigilantes em segurança privada era muito escassa, não havia literatura abrangente e a formação era baseada na experiência empírica dos instrutores e em fundamentos militares. Lembro que a primeira carga horária para formar os vigilantes foi de 120 h/a, em 2006 tivemos uma alteração para 160 h/a, e em 2012 tivemos a última mudança para 200 h/a com um total de 15 disciplinas. O curso de formação de vigilantes e suas extensões têm validade de 02 (dois) anos, após homologação na Delegacia de Controle de Segurança Privada (DELESP), sendo necessário os vigilantes retornarem às salas de aulas a cada 02 (dois) anos, o que requer que os instrutores também se atualizem, renovem seus conhecimentos e aperfeiçoem suas metodologias de ensino.
Sendo imprescindível a melhoria contínua na formação dos vigilantes na segurança privada, faço a seguinte pergunta: de quem é a responsabilidade pela formação do profissional vigilante? Visando uma formação eficiente, eficaz, qualificada e com um preparo de alto nível, além de habilitados pelo órgão regulador, respondo que a responsabilidade é compartilhada entre a PF, as Escolas de Formação e os Instrutores.
- Polícia Federal através da Coordenação-Geral de Controle de Serviços e Produtos (CGCSP) – compete a CGCSP elaborar, revisar e atualizar as disciplinas, os conteúdos programáticos das aulas, a regulamentação e a fiscalização.
- Escolas de Formação de Vigilantes – cabe aos administradores e os coordenadores de Cursos de Formação de Vigilantes (CFV), cumprir os regulatórios, selecionar bem seus instrutores com base em critérios específicos, com os perfis e habilitações para cada disciplina.
- Instrutores Credenciados – já aos instrutores, precisa se capacitarem e se manterem atualizados visando preparar melhor os vigilantes nos cursos de formação, extensões e reciclagens. Vejo que cada instrutor deve ter 03 (três) objetivos básicos como formador - Ensinar, Orientar e Motivar, enquanto docentes.
A Associação Brasileira de Cursos de Formação e Aperfeiçoamento de Vigilantes (ABCFAV), vem contribuindo para melhorar a capacitação dos instrutores e a formação dos vigilantes, tendo como foco preparar e capacitar os profissionais para atender o mercado de trabalho.
Procurando entender como se encontra a formação e capacitação dos instrutores, bem como de que forma as escolas estão contratando seus instrutores, vejo que existe um grande efetivo de instrutores credenciados nas mais diversas disciplinas. Identifiquei ainda que pessoas foram credenciados e nunca ministraram uma aula, seja por falta de oportunidade ou pelas escolas já terem instrutores suficientes para atenderem às suas demandas. Existem ainda funcionários de escolas de CFV e consultores cobrando para realizarem o credenciamento de instrutores, mesmo não havendo vagas disponibilizadas nas escolas de CFV. Na minha análise, entendo que os credenciamentos de instrutores deveriam ser apenas realizados pelas escolas de formação de vigilantes após serem aprovados em processo seletivo, comprovarem suas qualificações e atenderem aos requisitos exigidos pela legislação.
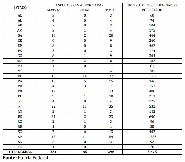
Apresento a seguir, um levantamento geral por estado sobre as quantidades de escolas de formação de vigilantes e as quantidades de instrutores credenciados:
Analisando o quadro acima, observa-se que existe uma quantidade expressiva de instrutores credenciados na PF para ministrar aulas nos cursos de formação de vigilantes, porém, observando as quantidades de escolas devidamente autorizadas a funcionar por estado, são muitos os instrutores credenciados, mas que não existe demanda para todos. Observa-se ainda que pela grande quantidade de instrutores credenciados, as escolas de formação de vigilantes têm a seu favor várias opções para selecionar melhor seu corpo de instrutores.
A origem dos instrutores nos cursos de segurança privada, são militares das forças armadas na reserva, policiais militares, civis e penais, bombeiros militares e civis, guardas municipais, profissionais com cursos superiores para atender as disciplinas especificas que são obrigatórias pela legislação para o credenciamento, gestores e consultores de segurança com experiência comprovada, e profissionais que atuam na atividade de segurança privada. Um dos fatores que contribuiu para o aumento do credenciamento de Instrutores na PF, foram os cursos de graduação tecnóloga, pós-graduação e especializações nos cursos de segurança promovidos por faculdades e universidades. Quanto a contratação de instrutores nas Escolas de Formação, a maioria são autônomos, exercem suas atividades nas suas organizações e empresas, e ministram aulas conforme suas disponibilidades de horários.
A CGCSP e a ABCFAV estão com uma excelente parceria e alinhadas na promoção de eventos e cursos para aprimorar a formação e capacitação dos instrutores e consequentemente dos vigilantes. Destaco como ações positivas a ABCFAV, que promoveu o curso – Gestão da Diversidade em parceria com a Universidade Zumbi dos Palmares, e a PF, que lançou recentemente, através da plataforma ANP Cidadã, o Curso de Didática para Instrutores de Formação de Vigilantes - 2022.x1. visando a elevar o nível da qualidade do ensino oferecido pelas Escolas de Formação e Vigilantes.
Diante das ações promovidas pelas entidades supracitadas, cabe aos instrutores buscarem as suas atualizações de conhecimentos, pois, como formadores, todos têm a missão de repassarem aos alunos e vigilantes seus conhecimentos e suas experiências adquiridas, visando à formação de profissionais qualificados e aptos a exercerem a profissão com eficiência e eficácia, o que é fundamental para elevar o nível da segurança privada.
Na qualidade de instrutores credenciados na PF, que cada um possa cumprir o seu papel de ensinar, orientar e motivar. Dessa forma, os alunos e os profissionais de segurança privada poderão se qualificar melhor e se motivarem para elevar a qualidade de suas atividades.
Antônio A. Mota, Doutor em Filosofia em Ciências de Segurança Internacional, Ph.D.
Membro do Grupo de Excelência em Defesa e Segurança – CRA – CE
Sócio honorário da CEAS Internacional nº 12 Sócio na ABSEG nº 570
Contatos: Cel. 85 99145-7777 | e-mail:

